Skip to content
Thursday, Apr 30, 2026
Ceylon Independent

Ceylon Independent

Latest news from Sri Lanka Politics Governance Corruption Human rights

  • About us
  • Autoplay scroller
  • Ceylon Independent
  • Contact us
  • Delta Flight 15 on 9/11 – DAY Brightener
  • Home New
  • Home Page
  • Home page – Blog
  • Home page – Left Sidebar
  • hp2
  • Independent.lk
  • LEGAL ISSUES
  • Magazine
  • Members
  • Page Builder
  • Progress Bars
  • Promotion Boxes
  • Provoking Thought – with FARAZ
  • Sri Lanka’s trade deficit widens for fifth consecutive month
  • Talk of the town
  • The five Central Bank Forensic Audit reports
  • Universities to reopen after vaccinating all students
  • Video test
  • weather
  • HOME
  • LOCAL
  • BUSINESS
  • ECONOMY
  • THE WORLD
    • MIDDLE EAST
  • ISSUES
    • LEGAL ISSUES
    • CORRUPTION / EXPOSE
    • EASTER TRAGEDY
  • FEATURED
    • TALK OF THE TOWN
    • TURNING POINT with FARAZ
  • EDITORIAL
  • NEWS LINE
  • ABOUT US
  • Home
  • TOP STORY
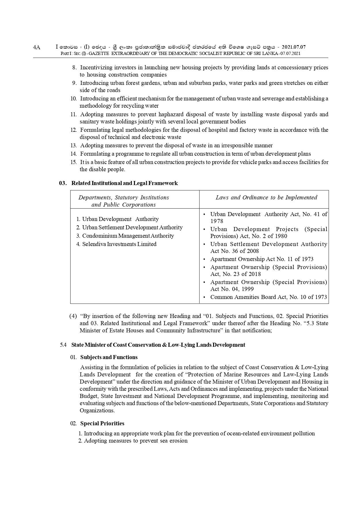
  • New Ministry Gazette

New Ministry Gazette

09/07/2021byAdmin

 

Post Views: 584
LocalOFFICIAL NOTICESTOP STORY

Post navigation

02 Agriculture Officials Arrested
Basil Rajapaksa assumes duties as Finance Minister

Related Posts

Helicopter rides of Ministers : New decision

The Sri Lanka Air Force says that it has stopped providing helicopter rides or domestic flight services to cabinet ministers…

Former Minister Karunanayake and 07 others granted bail

Former Finance Minister Ravi Karunanayake and seven others granted bail by Colombo High Court over the 2016 Bond Scam. Post…

Two more sectors increase prices

Container Transporters’ Association has decided to increase transport charges by 60% from today. Bus fares also will be increased from…

Stock Market


Exchange Rate

Exchange Rate USD: Thu, 30 Apr.


Latest News


  • MSC INGY’s Arrival in Sri Lanka Breaks Handling Records at CICT
  • Sri Lanka’s Stock Market Rises During Midday Session Despite Fluctuations
  • FAO Provides Fertilizer Assistance to Paddy Farmers in Anuradhapura Impacted by Cyclone
  • Singer Sri Lanka Acquires ACME Manufacturing Plant for Rs 630 Million
  • Proposed Regulations for Data Collection by Sri Lanka’s Central Bank to be Presented to Parliament
SPORTSTOP STORY

Shammi Steps Down – But Who Takes Guard?

byFaraz Shauketaly 29/04/202629/04/2026
BUSINESS

NDB Bank Fraud: Shanil Fernando Resigns from NDB Board

byEditor 29/04/202629/04/2026
BUSINESSTECHNOLOGY

Lanka Data Net (LDN) is Sri Lanka’s leader in structured data collection and AI data access

byEditor 29/04/202629/04/2026
BUSINESSCORRUPTION / EXPOSEFEATURED

The Deal, The Silence and The Unknown

byFaraz Shauketaly 28/04/202628/04/2026
FEATURED

The Man Who Taught Private Television to Speak Freely: The Shan Wickremesinghe Story

byEditor 27/04/202627/04/2026
OPINIONSPOLITICS

AKD & Co: Ideologically Left in Origin, but Operationally Pragmatic-Centrist with IMF-Constrained Economic Governance

byFaraz Shauketaly 27/04/202627/04/2026

CEYLON INDEPENDENT

Latest news from Sri Lanka Politics Governance Corruption Human rights

EXCLUSIVE


Economy & Business

Corruption & Exposure

Easter Tragedy

Talk of the Town

PRIVACY


About us

Privacy Policy

Disclaimer

Editorial Policy

CONTACT


Editor-in-Chief:  farazcolombo@gmail.com

Advertorials: editor@independent.lk

Technical: info@independent.lk 

 Advertising: +94 77 230 0305

Copyright © 2026 Ceylon Independent | Media News by Ascendoor | Powered by WordPress.